TACT
Les projets
Actualités
Statistiques
À propos
Se connecter
Créer un compte
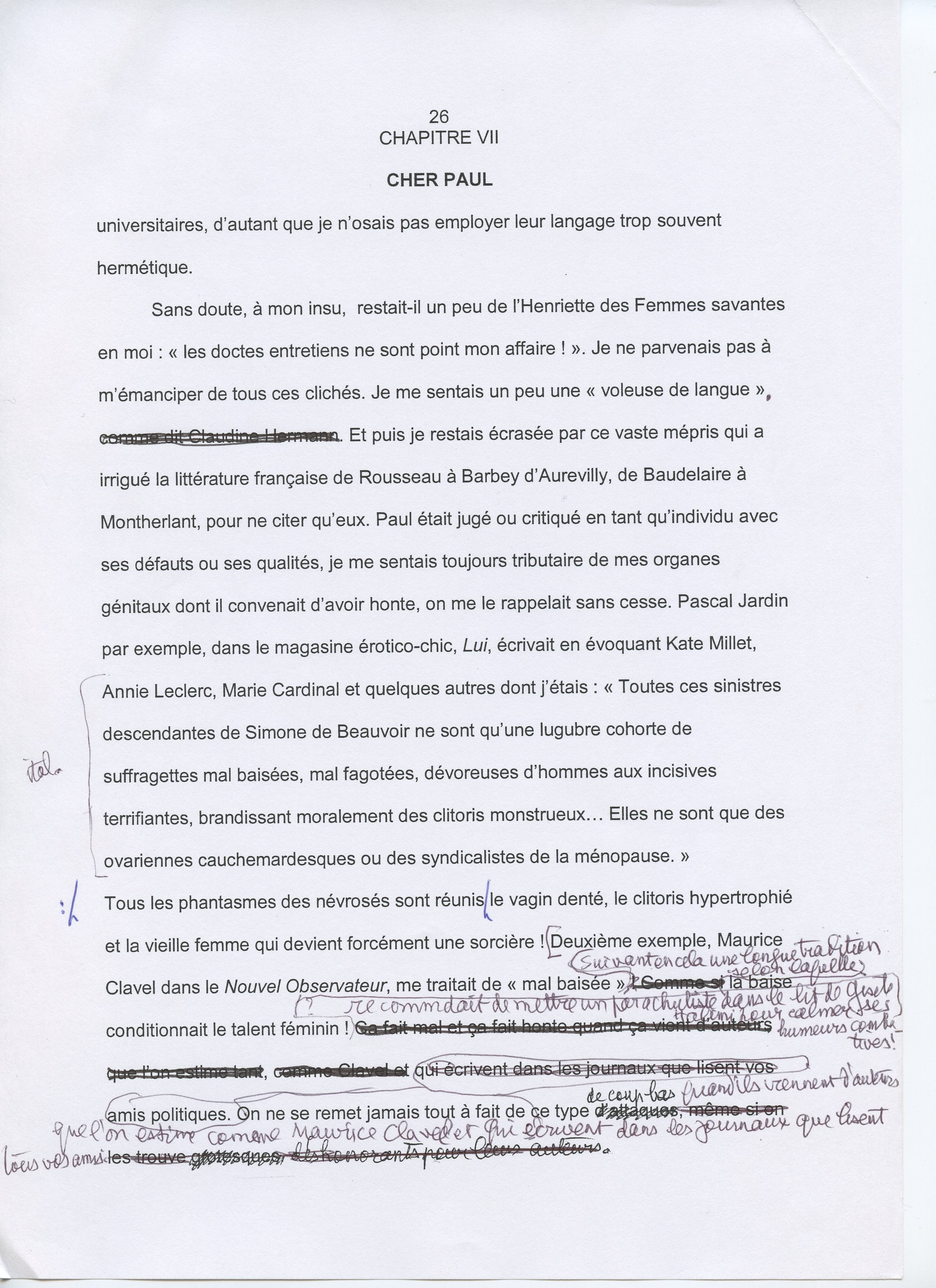
Transcrire Benoîte Groult
Guide de transcription
Manuel du contributeur
Voir les transcriptions
Télécharger la transcription
Télécharger le média
31AF19_001_11_06_026
Vous visualisez actuellement un média autre que celui transcrit/à transcrire.
Prévisualiser
Commentaires (0)
Aide
Activer le tutoriel
Guide de transcription
Manuel du contributeur
Signaler la transcription.
×
Vous allez signaler la transcription. Merci de nous préciser de quoi il s'agit.
Problème technique
Propos haineux, violence
Autre